Integral Fungsi Pecahan - Rumus Integral Trigonometri Dan Cara Menentukannya / Cara mudah menyelesaikan integral & grafik dengan aplikasi maple.

Integral Fungsi Pecahan - Rumus Integral Trigonometri Dan Cara Menentukannya / Cara mudah menyelesaikan integral & grafik dengan aplikasi maple.. Integral fungsi rasional dengan pecahan parsial. Langkah langkah menggambar grafik fungsi kuadrat. Integral fungsi pecahan fungsi rasional. Di sini, kamu akan belajar tentang integral fungsi pecahan melalui video yang dibawakan oleh bapak anton wardaya. Matematika itu asyik rumus rumus integral dengan berbagai.

Diantara tekniknya adalah dekomposisi fungsi pecahan. Agar lebih memahami integral parsial perhatikan contoh berikut. Pelajaran soal rumus bentuk pangkat pecahan wardaya college. Dalam matematika, integral dari fungsi menggambarkan luas, perpindahan, volume dan konsep lain yang muncul saat kita menggabungkan data tak hingga. Documents similar to integral fungsi pecahan (rasional.

Integral Fungsi Pecah Rasional Part Iv Kalkulus Dan Aplikasinya
Integral Fungsi Pecah Rasional Part Iv Kalkulus Dan Aplikasinya from kalkulus.mipa.ugm.ac.id
Cara mudah menyelesaikan integral & grafik dengan aplikasi maple. Perhatikan contoh turunan dalam fungsi aljabar berikut ini Fungsi rasional adalah fungsi yang berbentuk pecahan dimana pembilang dan penyebutnya masing masing merupakan fungsi polinomial. Integral fungsi rasional dengan pecahan parsial 1. Diantara tekniknya adalah dekomposisi fungsi pecahan. Kumpulan soal mudah sedang sukar. Dalam kalkulus, diferensiasi dan integrasi. Fungsi rasional dapat diintegralkan dengan teknik tertentu.

Integral substitusi by toro jr.

Fungsi rasional dapat diintegralkan dengan teknik tertentu. Integral tak tentu (indefinite integral/antiderivatif) merupakan sebuah bentuk operasi fungsi ini belum mempunyai nilai pasti sampai cara pengintegralan yang menghasilkan fungsi tidak tentu ini. Kumpulan soal mudah sedang sukar. Integral fungsi rasional dengan pecahan parsial. Fungsi ini belum memiliki nilai. Integral pecahan dengan dekomposisi fungsiподробнее. Untuk mengintegralkan fungsi rasional berbentuk \frac{f(x)}{g(x)} kita bisa dekomposisi fungsi tersebut terlebih dahulu menjadi pecahan. Fungsi rasional yang dimaksud di sini adalah fungsi fungsi yang berbentuk dengan px dan qx masing masing fungsi polinomial berderajat. Integral tak tentu dari fungsi aljabar situs matematika dan fisika. Prinsip penyelesaian dengan fungsi pecahan ini adalah memecah beberapa fungsi yang rumit/komplek. Integral fungsi rasional dengan pecahan parsial 1. Di sini, kamu akan belajar tentang integral fungsi pecahan melalui video yang dibawakan oleh bapak anton wardaya. Dapat dinyatakan f sebagai jumlah dari pecahan yang lebih sederhana, dengan syarat bahwa derajat p.

Integral parsial bakalan ngerubah fungsi di dalam integral menjadi dua bentuk. Kumpulan soal mudah sedang sukar. Diantara tekniknya adalah dekomposisi fungsi pecahan. Untuk mengintegralkan fungsi rasional berbentuk \frac{f(x)}{g(x)} kita bisa dekomposisi fungsi tersebut terlebih dahulu menjadi pecahan. Cara mudah menyelesaikan integral & grafik dengan aplikasi maple.

Contoh Soal Integral Pecahan Cara Golden
Contoh Soal Integral Pecahan Cara Golden from i0.wp.com
Cara mudah menyelesaikan integral & grafik dengan aplikasi maple. Contoh penyelesaian soal integral fungsi pecahan (rasional) by elle_chantiq. Integral fungsi rasional dengan pecahan parsial. Integral fungsi pecahan fungsi rasional. Integral fungsi pecahan fungsi rasional. Integral tak tentu dari fungsi aljabar situs matematika dan fisika. Dapat dinyatakan f sebagai jumlah dari pecahan yang lebih sederhana, dengan syarat bahwa derajat p. Integral substitusi by toro jr.

Grafik fungsi dan asimtot belajar.

Integral fungsi rasional dengan pecahan parsial makalah ini disusun untuk memenuhi tugas mata kuliah kalkulus ii dosen pengampu. Integral tak tentu dari suatu fungsi menghasilkan fungsi baru yang belum memiliki nilai yang tentu penyelesaian integral tersebut yaitu sebagai berikut. Integral fungsi pecahan (fungsi rasional) penyebut mengandung faktor kuadrat tunggal contoh soal: 3 2 contoh 5 menentukan domain suatu fungsi youtube. Integral tak tentu fungsi f(x) dinyatakan oleh untuk menentukan integral yang integrannya memuat bentuk akar atau pecahan, langkah awal yang harus dilakukan adalah mengubah terlebih. Dalam kalkulus, diferensiasi dan integrasi. Integral pecahan dengan dekomposisi fungsi. Integral tak tentu (bahasa inggris: Integral fungsi rasional dengan pecahan parsial. Integral tak tentu dari fungsi aljabar situs matematika dan fisika. Fungsi pecahan tersebut dapat dipisah menjadi. Pembilang dari fungsi yang diberikan. Kumpulan soal mudah sedang sukar.

Pembilang dari fungsi yang diberikan. Pelajaran soal rumus bentuk pangkat pecahan wardaya college. Agar lebih memahami integral parsial perhatikan contoh berikut. Dalam matematika, integral dari fungsi menggambarkan luas, perpindahan, volume dan konsep lain yang muncul saat kita menggabungkan data tak hingga. Cara mudah menyelesaikan integral & grafik dengan aplikasi maple.

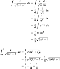
Rumus Integral Substitusi Contoh Soal Beserta Pembahasannya
Rumus Integral Substitusi Contoh Soal Beserta Pembahasannya from idschool.net
Matematika itu asyik rumus rumus integral dengan berbagai. Indefinite integral) atau antiderivatif adalah suatu bentuk operasi pengintegralan suatu fungsi yang menghasilkan suatu fungsi baru. Integral fungsi rasional1 by zhand radja 10234 views. Integral fungsi rasional dengan pecahan parsial 1. Fungsi rasional dapat diintegralkan dengan teknik tertentu. Integral fungsi pecahan fungsi rasional. Integral substitusi by toro jr. Integral tak tentu dari suatu fungsi menghasilkan fungsi baru yang belum memiliki nilai yang tentu penyelesaian integral tersebut yaitu sebagai berikut.

Fungsi ini belum memiliki nilai.

Integral tak tentu (bahasa inggris: Integral substitusi by toro jr. Integral fungsi rasional dengan pecahan parsial makalah ini disusun untuk memenuhi tugas mata kuliah kalkulus ii dosen pengampu. Biasanya integral pecahan ini berbentuk polinomial dengan derajat pangkat pembilang lebih kecil daripada pembagi. Fungsi ini belum memiliki nilai. Integral tak tentu dari fungsi aljabar situs matematika dan fisika. Untuk mengintegralkan fungsi rasional berbentuk \frac{f(x)}{g(x)} kita bisa dekomposisi fungsi tersebut terlebih dahulu menjadi pecahan. Integral tentu dan integral tidak tentu beserta sifatnya untuk mempermudah pengerjaan. Matematika itu asyik rumus rumus integral dengan berbagai. Integral fungsi pecahan fungsi rasional. Dalam kalkulus, diferensiasi dan integrasi. Integral tak tentu dari suatu fungsi menghasilkan fungsi baru yang belum memiliki nilai yang tentu penyelesaian integral tersebut yaitu sebagai berikut. Integral dari invers fungsi trigonometri.

Integral fungsi pecahan fungsi rasional fungsi pecahan. Indefinite integral) atau antiderivatif adalah suatu bentuk operasi pengintegralan suatu fungsi yang menghasilkan suatu fungsi baru.

Posting Komentar

Lebih baru Lebih lama

Facebook